
Co-Authored by Rhiannon Davids* and Dean J. Campbell*
*Bradley University, Peoria, Illinois
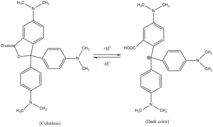
Thermochromic substances vary in color, depending on their temperature. Both organic and inorganic thermochromic substances exist, and some have been used commercially. Two major types of commercially available organic thermochromic systems are based on thermochromic liquid crystals and leuco dyes.1 Thermochromic liquid crystals vary in color as the relative position and orientation of their constituent molecules change. Leuco dyes often change color when they react with other chemical species (e.g., acids) and the relative concentrations of the species associated with these reactions can be controlled by temperature. The term “leuco” refers to dyes that have visible color in one form and are colorless in the other form.1 Leuco dye photochromic systems are less expensive but are less precise than liquid crystal systems in their ability to mark a particular temperatures.1 Leuco dye photochromic systems can be irreversible, such as the systems used in the ink in thermal paper receipts,2 but they can also be reversible, such as the systems used in color-changing plastic containers.3 A variety of chemical species with varying complexity are used to produce reversible thermochromic systems, but most rely on acid-base reactions. A model thermochromic leuco dye reaction is the reaction of crystal violet lactone with bisphenol-A (BPA), dissolved within a polar solvent, such as an alcohol or ester, that has been microencapsulated.2 The BPA, being a weak acid, donates a proton to the crystal violet lactone, opening its lactone ring, changing the color of the compound from clear to a vibrant color, as shown in the equilibrium in Figure 1. At relatively low temperatures, the BPA does not react much with the lactone and the system is colorless. At relatively high temperatures, the BPA reacts much more with the lactone and the system becomes colorful.
Figure 1. Structures of (LEFT) colorless Crystal Violet lactone and (RIGHT) the darkly-colored protonated form of the dye.
While BPA was chosen for simplicity in this sample reaction, there are many other biphenyl compounds used in plastics instead that hold similar properties to BPA, such as bisphenol-S and bisphenol-AF, that are not as regulated, as BPA is known to cause developmental issues.4 There are a variety of leuco dyes appropriate for thermochromic plastics. Crystal violet lactone, as its name suggests, produces a blue-violet color, but a variety of other lactones and fluoran compounds are used to produce a variety of colors, including but not limited to Rhodamine B lactam for red, 3-diethylamino-5-methyl-7-dibenzylamino fluoran for green, and 3,6-bis-methoxy fluoran for yellow; each with its own color change in a distinct temperature range.5
In addition to the thermochromic reaction itself being examined, thermochromic objects like cups can be used to indicate the direction of heat flow. This works best if the thermochromic object is near its color transition temperature. Heat flowing into the thermochromic object will shift its color in one direction; heat flowing out of the object will shift its color in the other direction. The experiments and demonstrations below describe potential activities based on these properties of thermochromic substances.
Acids, Bases, and Thermochromic Systems
Since thermochromic systems based on leuco dyes often require interactions with weak acids in order to shift color, the color change can also be influenced by other acids and bases. For example, a previous post has described how acids such as hydrogen chloride can cause thermochromic paper to change color.2 Other thermochromic systems, such as in plastic cups, can shift color in response to acids and bases. One of the challenges is to get the acids and bases into the polypropylene of the cup. Hydrogen chloride and ammonia vapors can both impact the color changes of some thermochromic systems, including those embedded in plastic cups. The acid and base experiments therefore largely focused on these vapors. The target thermochromic systems explored in these studies were thermochromic pigment powder, thermochromic polypropylene cups, and thermochromic pencils.
Video 1. Thermochromic powder on filter paper exposed to cold, heat, acidic vapor, and basic vapor. Chem Demos YouTube channel (accessed August 14, 2023).
The thermochromic pigment powders were obtained from the United Mineral & Chemical Corporation, Lyndhurst, NJ. Note: The powders are not without hazards - they are described as containing 5-15% bisphenol-A. A cotton swab was used to draw small amounts of the powders on filter paper. The roughness of the filter paper helped to hold the powder in place. Video 1 shows how both temperature and acids and bases can be used to control the color of the powders. These samples of thermochromic powder on filter paper are mostly colorless at room temperature. Placing the paper on the surface of a liquid-nitrogen-cooled pan turns the powder red and black. Reheating the paper with a heat gun turns the powder mostly colorless again. Exposing the paper to acidic hydrogen chloride vapor by placing it over the mouth of a jar containing a little concentrated hydrochloric acid turns the powder red and black. Exposing the paper to basic ammonia vapor by placing it over the mouth of a jar containing a little concentrated ammonia solution turns the powder mostly colorless again. Figure 2 shows the thermochromic powder on the filter paper exposed to hydrogen chloride sufficiently long that some of the black thermochromic powder turned orangish. Even so, exposing the powder to ammonia vapor turned it colorless again. The black thermochromic powder darkened in contact with household vinegar solution and lightened in contact with household ammonia solution, but this behavior was much more subdued for the red thermochromic powder.
Figure 2. Thermochromic powder on filter paper exposed to (LEFT) hydrogen chloride vapor and then (RIGHT) ammonia vapor.
The thermochromic polypropylene cups were obtained from suppliers on Amazon.com such as AAkron Line, Akron, NY. Samples approximately 2 cm by 2 cm in size were cut from each color (red, green, blue, and purple) of thermochromic polypropylene cups. Samples of each color were placed in a chamber overnight with ammonia vapor produced by concentrated ammonia solution in an open vial in that chamber. Samples of each color were placed overnight in a chamber with hydrogen chloride vapor produced by concentrated hydrochloric acid solution in an open vial in that chamber. As Figure 3 shows, the samples exposed to the basic ammonia vapors stayed at their lighter high temperature colors, whereas the samples exposed to the acidic hydrogen chloride vapors shifted to their darker low temperature colors.
Figure 3. Samples of plastic from thermochromic cups exposed to (TOP ROW) ammonia vapor and (BOTTOM ROW) hydrogen chloride vapor.
Additional samples were collected with different initial treatments. For each color of sample, one was left as a control, one was placed in a beaker with dry ice which was covered, but allowed some ventilation, and one was placed in muriatic acid solution. Another two samples were placed in a chamber with ammonia vapor produced by concentrated ammonia solution in an open vial in that chamber. Still another two samples were placed in a chamber with hydrogen chloride vapor produced by concentrated hydrochloric acid solution in an open vial in that chamber. After about a day’s exposure to the vapors, the samples were removed. With the same methods as before another two samples were added into both the ammonia and hydrogen chloride chambers. But after being removed from their initial chambers, one of each type of sample was swapped into the opposite chamber, and the other samples were placed into an oven at 120℃ overnight. The results of this experiment are shown in Figure 4. Samples with high intensity colors are indicated with a black dot. Thermochromic cup samples treated with dry ice and those treated with just ammonia showed no visible change from that of the control. The samples that were treated with muriatic acid and hydrogen chloride vapors both visibly changed to more intense colors. Most notably, those exposed to ammonia first showed no visible change, but when treated with hydrogen chloride afterwards, the samples changed to more intense colors. Samples treated first with hydrogen chloride reacted as predicted, but neutralized back to more colorless as seen with the control samples when treated with ammonia vapor. The samples treated with ammonia or hydrogen chloride and then heated overnight all decolorized to some extent, with the ammonia samples turning almost clear, and the hydrogen chloride samples turned a color intensity somewhere between the control and its previous color.
Figure 4. Samples from thermochromic cups exposed to ammonia vapor, hydrogen chloride vapor, muriatic acid, and dry ice, with some samples exposed to ammonia or hydrogen chloride vapor exposed to the opposite vapor or heated to 120°C. Samples with high intensity colors are indicated with a black dot. (TOP) Samples from red and blue cups.(BOTTOM). Samples from green and purple cups.
Samples were also placed in a -80℃ freezer for approximately 30 minutes to test how they continued to react to cold temperatures after treatments. All samples, including those tested with ammonia changed to a vibrant color, as shown in Figure 5. While the specifics of the chemical composition of each cup varies, due to their difference in coloration, the results from each cup sample indicates that their thermochromic reactions resemble the crystal violet reaction described previously.
Figure 5. Samples from thermochromic cups exposed to ammonia vapor, hydrogen chloride vapor, and muriatic acid, compared to the control samples shown in the fifth row, after cooling to -80°C.
The thermochromic pencils were obtained from suppliers on Amazon.com such as the Shenzhen Juanjing Network Technology Co., LTD., Shenzhen, China, and AAkron Line, Akron, NY. Thermochromic pencils are designed to change color under the influence of body heat, although some pencils, especially the black ones, seemed to require more heat than other pencils. It is important to note that the thermochromic cups are at their high temperature colors at room temperature, as their transition temperatures are below room temperature. In contrast, the thermochromic pencils are at their low temperature colors at room temperature, as their transition temperatures are above room temperature.
The pencils were cut into 1 - 5 cm lengths. Replicate samples were drilled, labeled with a permanent marker, and arranged on threads. One thread of samples was kept as the control at room temperature and a second thread was placed in an oven at 80℃. A third thread was placed in a chamber overnight with ammonia vapor produced by concentrated ammonia solution in an open vial in that chamber. A fourth thread was placed overnight in a chamber with hydrogen chloride vapor produced by concentrated hydrochloric acid solution in an open vial in that chamber. The top picture in Figure 6 shows the four strands shortly after removal from the oven, hydrogen chloride, and ammonia. There were a variety of color changes that took place, but many of the heated pencil samples resemble the pencil samples that have been exposed to ammonia. This is consistent with the concept of a basic environment shifting the thermochromic systems toward the high temperature colors. The bottom picture in Figure 6 shows the same samples after several hours in a fume hood. Many of the thermochromic pencil samples have returned to their original colors after losing heat, hydrogen chloride, and ammonia.
Figure 6. Samples of thermochromic pencils exposed to heat, ammonia vapor, and hydrogen chloride vapor (TOP) soon after removal from treatment chambers and (BOTTOM) hours after removal from treatment chambers.
Sensing Intermolecular Attractions with a Thermochromic Plastic Cup
Thermochromism can be used as a tool to demonstrate heat flow. For example, the exothermic oxidation of sugars in the human body can change the color of a thermochromic pencil. The endothermic melting of ice in a drink can change the color of a thermochromic cup. Another use of a thermochromic object to demonstrate the movement of heat involves the classic demonstration of thermodynamic principles using an elastomer such as a rubber band. This demonstration has often relied on human touch to determine heat flow. Stretching the rubber band causes its polymer chains to straighten out and move closer to each other, releasing heat as the intermolecular attractions strengthen. Since the stretching process is nonspontaneous, the thermodynamic signs for the stretching process are -ΔH, -ΔS, and +ΔG. Allowing the band to contact allows the polymer chains to buckle and move further from each other, taking in heat as the intermolecular attractions are weakened. Since the contracting process is spontaneous, the thermodynamic signs for the stretching process are +ΔH, +ΔS, and -ΔG. The temperature changes are subtle, and some demonstrators recommend placing the rubber band on an upper lip, since that body part is sensitive to temperature changes. A deflated latex balloon seems to produce a more pronounced thermal change than a rubber band.
Rather than using a rubber band or balloon for each person in a group activity, a thermochromic cup near its color transition temperature might allow visualization by the entire group of the temperature changes associated with elastomer behavior. This does depend on finding a cup that has a sufficiently visible color change at the ambient room temperature. In Figure 7, a deflated latex balloon is placed on the surface of a thermochromic cup at 19℃, leaving no thermal mark. Placing a stretched, warmed balloon on the cup causes it to become lighter in color at that location. Placing the contracted, cooled balloon on the cup causes it to become darker in color at that location. In this figure, the light and dark regions cross each other to produce an X shape. Video 2 shows this demonstration in action.
Video 2. Touching a stretched deflated latex balloon to a thermochromic plastic cup decolorizes the cup where the balloon and cup were in contact. Touching a contracted deflated latex balloon to the cup cools it and darkens the color. Chem Demos YouTube channel (accessed August 14, 2023).
Figure 7. Thermochromic plastic cup with regions that have been decolorized by warming in contact with a stretched deflated latex balloon and regions that have been darkened by cooling in contact with a contracted balloon.
Conclusions
While thermochromic products can undergo a shift in color due to a change in temperature, if the color systems involve dyes reacting with a weak acid, they can shift their colors through use of additional acids and bases. The use of additional acid pushes reactions similar to that shown in Figure 1 to toward darker-colored products. Conversely, use of additional base shifts the reactions toward lighter-colored reactants. Many times, these color shifts due to addition of acids or bases are not permanent.
There are a few challenges to using these thermochromic systems in a live science demonstration in a classroom or a show:
- the time required - The timescale for the color transitions for the thermochromic cups and pencils are on the order of hours, which is longer than the typical class or show. The thermochromic powders, having high surface area, changed color more quickly.
- difficulty and safety of loose powder - Though the thermochromic powders changed color more quickly, they must be carefully handled to keep them from spreading beyond their site of use.
- concentrated acids and bases are often required - Concentrated acids and bases are used to produce gas phase acid and base species that can penetrate coatings or polymers in thermochromic systems.
Due to the time and safety considerations required to react the thermochromic materials with acids and bases, it may be best to prepare samples before the demonstration. With proper preparation, the activities would work as educational demonstrations within and outside the classroom. A variety of finished products could be shown to explore the concept of acid-base reactions, and how they interact with the reactions of the thermochromic reaction. Within the classroom, these demonstrations would pair well with NGSS standard HS-PS1-6: Refine the design of a chemical system by specifying a change in conditions that would produce increased amounts of products of equilibrium.6
The stretched balloon activity might work for a live demonstration due to the limited safety concerns and the speed of the reaction. For a live demonstration, it might be beneficial to cool the cup with water nearer to its transition temperature to allow for a more visible reaction. If used within a classroom environment, this demonstration aligns with the NGSS standard HS-PS3-2: Develop and use models to illustrate that energy at the macroscopic scale can be accounted for as a combination of energy associated with the motion of particles (objects) and energy associated with the relative positions of particles (objects), with conversations on thermal energy and the changes in structure and configuration within the rubber band.7
Safety
Hydrogen chloride can cause permanent harm if handled improperly. Hydrogen chloride is a corrosive gas that can cause skin burns and cause eye damage. In addition, inhalation of fumes can cause irritation of the respiratory tract, leading to coughing, choking and inflammation. Hydrogen chloride vapor is toxic, prolonged exposure or exposure in high concentration can be fatal. Use caution when using hydrogen chloride, to prevent exposure to toxic vapors, use proper PPE and only use in a fume hood.8
Ammonia vapor can cause permanent harm or death if handled without care. Ammonia is corrosive and its vapor is extremely irritating, and its gas can cause burns and severe injury. Vapors are irritating to the eyes and respiratory tract. Inhalation at high exposure levels can be fatal. In addition, ammonia gas is flammable, and should be kept away from heat sources. Lastly, ammonia is very toxic to aquatic life and is therefore hazardous to the aquatic environment. Just like hydrogen chloride, ammonia vapor should be treated with caution and should be only used in a fume hood with proper PPE.9
Bisphenol A can be found in some thermochromic materials such as the thermochromic powder referenced earlier. It can cause allergic reactions on the skin, respiratory irritation and cause serious eye damage. In addition, BPA is a combustible material and should be kept away from sparks and flames. BPA is also an endocrine disruptor and is a reproductive toxicant. BPA is also toxic to aquatic life with long term effects. Therefore, when working with materials containing BPA, proper PPE, including gloves and splash goggles should be worn. If working with a powder, a well-ventilated area, such as a fume hood should be used to prevent inhalation.10
Acknowledgements
This work was supported by Bradley University and the Mund-Lagowski Department of Chemistry and Biochemistry with additional support from the Illinois Heartland Section of the American Chemical Society. The material contained in this document is based upon work supported by a National Aeronautics and Space Administration (NASA) grant or cooperative agreement. Any opinions, findings, conclusions, or recommendations expressed in this material are those of the author and do not necessarily reflect the views of NASA. This work was supported through a NASA grant awarded to the Illinois/NASA Space Grant Consortium.
References
- White, M. A.; LeBlanc M. Thermochromism in Commercial Products. J. Chem. Educ., 1999, 76, 1201. https://pubs.acs.org/doi/pdf/10.1021/ed076p1201
- Campbell, D. J.; Lojpur, B.; Liu, R. “Thermal Paper as a Polarity and Acidity Detector.” ChemEd Xchange. https://www.chemedx.org/blog/thermal-paper-polarity-and-acidity-detector (accessed August, 2023).
- Campbell, D. J. “Using My Marbles: Connecting Surface Area and Calorimetry with Temperature Curves and Thermochromic Cups.” ChemEd Xchange. https://www.chemedx.org/blog/using-my-marbles-connecting-surface-area-an... (accessed August, 2023).
- Environmental Protection Agency. Bisphenol A Alternatives in thermal paper. 2015 https://www.epa.gov/sites/default/files/2015-08/documents/bpa_final.pdf (accessed August, 2023)
- Nakasuji, N.; Kataoka, T.; Inagaki, H.; Nakashima, S. Thermochromic materials. U.S. Patent US4028118A, June 7, 1977.
- Next Generation Science Standards. HS-PS1 Matter with its Interactions. https://www.nextgenscience.org/pe/hs-ps1-6-matter-and-its-interactions (accessed August, 2023).
- Next Generation Science Standards. HS-PS3 Energy. https://www.nextgenscience.org/pe/hs-ps3-2-energy (accessed August, 2023)
- Pubchem. Hydrochloric Acid. Nih.gov. https://pubchem.ncbi.nlm.nih.gov/compound/313 (accessed July, 2023)
- Pubchem. Ammonia. Nih.gov. https://pubchem.ncbi.nlm.nih.gov/compound/222 (accessed July, 2023)
- Pubchem. Bisphenol A. Nih.gov. https://pubchem.ncbi.nlm.nih.gov/compound/6623 (accessed August, 2023)
Safety
General Safety
General Safety
For Laboratory Work: Please refer to the ACS Guidelines for Chemical Laboratory Safety in Secondary Schools (2016).
For Demonstrations: Please refer to the ACS Division of Chemical Education Safety Guidelines for Chemical Demonstrations.
Other Safety resources
RAMP: Recognize hazards; Assess the risks of hazards; Minimize the risks of hazards; Prepare for emergencies
NGSS
Students who demonstrate understanding can refine the design of a chemical system by specifying a change in conditions that would produce increased amounts of products at equilibrium.
*More information about all DCI for HS-PS1 can be found at https://www.nextgenscience.org/dci-arrangement/hs-ps1-matter-and-its-interactions and further resources at https://www.nextgenscience.org.
Students who demonstrate understanding can refine the design of a chemical system by specifying a change in conditions that would produce increased amounts of products at equilibrium.
Assessment is limited to specifying the change in only one variable at a time. Assessment does not include calculating equilibrium constants and concentrations.
Emphasis is on the application of Le Chatelier’s Principle and on refining designs of chemical reaction systems, including descriptions of the connection between changes made at the macroscopic level and what happens at the molecular level. Examples of designs could include different ways to increase product formation including adding reactants or removing products.
Students who demonstrate understanding can develop and use models to illustrate that energy at the macroscopic scale can be accounted for as a combination of energy associated with the motions of particles (objects) and energy associated with the relative position of particles (objects).
*More information about all DCI for HS-PS3 can be found at https://www.nextgenscience.org/topic-arrangement/hsenergy.
Students who demonstrate understanding can develop and use models to illustrate that energy at the macroscopic scale can be accounted for as a combination of energy associated with the motions of particles (objects) and energy associated with the relative position of particles (objects).
Examples of phenomena at the macroscopic scale could include the conversion of kinetic energy to thermal energy, the energy stored due to position of an object above the earth, and the energy stored between two electrically-charged plates. Examples of models could include diagrams, drawings, descriptions, and computer simulations.