
In general, the antioxidant activity of a substance is determined by the DPPH assay, published by Blois in 19581; that procedure involves the use of a stable free radical (2,2-diphenyl-1-picrylhydrazyl) whose electron delocalization gives rise to a purple/violet color. When the DPPH reacts with a substance able to donate hydrogen atoms, the original color eventually fades away due to the reduction of the DPPH itself. The mechanism is shown in figure 1.

Figure 1 - Reaction mechanism of DPPH with an antioxidant
During my internship period at Sapienza University in Rome, I investigated the antioxidant properties of chitosan, a polysaccharide extracted from crab shells. I am a co-author of an article that discusses the results of that work, Antimicrobial activity of catechol functionalized-chitosan versus Staphylococcus epidermidis. I worked extensively on that topic and the antioxidant properties were evaluated by the DPPH assay.
What is an antioxidant?
An antioxidant is a substance that even at low concentration is able to either inhibit or delay the oxidation process. Natural and synthetic antioxidants are routinely used in foods and medicines in order to protect the final product against oxidation. Antioxidants have wide application since they are used as additives in fats, oils and in food processing industries to prevent food spoilage3. It is well known that spices and some herbs are good sources of antioxidants4.
The concept of antioxidant might not be easy to grasp; students easily get confused about that and they do not realize that an antioxidant is nothing more than a compound able to be more easily oxidized in order to prevent the oxidation of another (and probably a more important) substance. It basically acts as a shield against oxidation. In this blog post, I would like to show a simple demonstration you may use to introduce the concept of antioxidant along with its potential in everyday life.
One of the most famous oxidizing agents in the supermarket is sodium hypochlorite (NaClO), also known as bleach. Sodium hypochlorite is able to destroy the chromophore groups contained in colored compounds such as a food dye. After the destruction of the chromophore, the food dye molecule is not able to absorb light anymore and it will eventually lose its color intensity.
A compound that is widely used as a food dye is tartrazine: it is often labelled either as E102 or FDC Yellow 5. Its molecular structure is shown in figure 2.

Figure 2 - Structural formula of the food dye & tartrazine (also called FD&C Yellow 5).
The destruction of the N=N moiety in the molecule, leads to the decolorization of the liquid in which tartrazine has been previously added. It will shift from yellow to colorless. That result can be achieved by adding a couple of drops of bleach into the food dye solution.
Watching Tom Kuntzleman’s video about a cool Halloween chemical reaction5, I came across Ball® Fruit Fresh. It is a produce protector as well as a source of Vitamin C and it prevents oxidation of food such as fruit exposed to air (I determined the amount of Vitamin C in that in a previous blog post). I thought it would be fun to test it in order to use “kitchen/under the sink” kinds of chemicals.
By using a spectrometer and some relatively common chemical kinetics, it is possible to demonstrate the antioxidant activity/power of a specific compound, in this case vitamin C. The presence of that compound will delay the oxidation of tartrazine that in absence of an antioxidant is quickly oxidized by bleach.

Figure 3 - Equipment and household chemicals for the lab
Table 1 - Equipment and household chemicals for the lab
| EQUIPMENT | CHEMICALS |
| Pasco Wireless Spectrometer PS-2600 and plastic cuvettes | McCormick Assorted food colors (Yellow 5) |
| 100 ml volumetric flask | 0.425 M bleach |
| 1000 μL Micropipette | Ball® Fruit Fresh |
All procedures can be found in the Supporting Information at the end of the post.
EXPERIMENTAL RESULTS
Note: the terms Tartrazine, food dye and Yellow 5 are going to be used interchangeably (both here and in the Supporting information sheet). Commercial bleach was titrated and diluted in order to get a concentration of 0.425 M
All the reactions were directly conducted in the cuvette placed in the spectrometer in order to get data as accurate as possible. Tartrazine stock solution was prepared by adding one drop of McCormick yellow food dye to 80 ml of distilled water and bringing the volume up to 100 ml.
Each trial was carried out by rapidly injecting 100 μL of 0.425 M bleach into 3 ml of food dye solution previously poured into the cuvette; by doing that, volume variation is negligible but we are adding an excess of bleach. Absorbance values are collected every 5 seconds. Vitamin C content in Fruit Fresh was previously determined by iodometric titration and data states that 1 g of the product contains 0.127 g of vitamin C.
The solution containing the antioxidant was prepared by dissolving 0.5 g of Fruit Fresh in 50 ml of food dye solution, obtaining a solution whose concentration in vitamin C was 7.21 mM. All the solutions should be filtered before data collection. Spectrometric data was collected by Pasco Wireless Spectrometer PS-2600. A sample of a spectra you could get after the addition of the bleach is shown in graph 1.

Graph 1 - variation of the absorbance of Yellow 5 after the addition of the bleach
Processed data is reported in graphs 2 and 3. By looking at the graphs, we can say that both reactions are first-order reactions with respect to the food dye (lnC vs time plot, where lnC is the natural logarithm of the concentration of tartrazine, gives a straight line with a negative slope).

Graph 2 - Variation of concentration of tartrazine with time

Graph 3 -Natural logarithm of concentration versus time
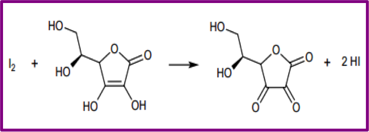
The action of the antioxidant contained in Fruit Fresh is more evident in Graph 2. Bleach quickly oxidizes tartrazine (blue circles) after its addition; as you can see, the concentration of tartrazine decreases pretty quickly over time. On the other hand, in presence of the antioxidant (green triangles), the oxidation is much slower. In fact, Vitamin C undergoes oxidation to dehydroascorbic acid, as shown in Figure 4, acting as a sort of shield towards tartrazine.

Figure 4 - oxidation of Vitamin C (left) to dehydroascorbic acid (right)
The overall reactions, involving Vitamin C and bleach, could be the following one:
C6H8O6+ NaClO → C6H6O6 + NaCl + H2O
This reaction is quite fast and counteracts the oxidizing power of bleach toward tartrazine which is actually protected by the ability of Vitamin C to be easily oxidized.
Final data is reported in table 1.
Table 2 - rate constant and half-life values for the reaction in presence and absence of antioxidant agent

In terms of rate constant values, we can consider graph 4. The speedometer represented in the graph above really helps; it’s clear that a higher value of the rate constant, for the same concentrations, corresponds to a faster reaction. In this case, the presence of antioxidant leads to a value of k equal to 0.0144 s-1. On the other hand, in absence of that the value of k is 0.0861 s-1 which means a 6 times faster reaction.

Graph 4 - values of k for the reactions experimented in different conditions.
In Italian we would say that the reaction represented by the speedometer on the left is a 500 whereas that one on the right is a Ferrari!
I hope you will find this experiment useful; it involves chemical kinetics and spectrometry so I think it could be beneficial to introduce more advanced concepts in your lessons. I did this experiment with a produce protector as a source of antioxidants but it would be nice to try it out with other substances with a well known antioxidant activity and compare them. In this case, the product I tested was quite soluble in water so no other treatment was required; it could be interesting extracting the antioxidant out of a matrix and test it, not only with bleach but also with other oxidizing agents.
A nice test would be using macromolecular antioxidants; because of their size, those molecules can decrease the activity of the oxidizing agent not only in terms of chemistry but also in terms of molecular motion and diffusion. In fact, a macromolecule could trap the oxidizer into its entanglements, making its path to the target molecules difficult and slowing down the entire process of oxidation.
Resources
I wish to thank Tom Kuntzleman for his suggestions and advice about this material.
1 - Blois MS (1958) Antioxidant determinations by the use of a stable free radical. Nature 181:1199–12002
2 - Molecules, 2014, 19(11), 19180-19208
3 - https://www.sciencedirect.com/science/article/pii/S0974694313003733
4 - Hinneberg I, Dorman DHJ, Hiltunen R. Antioxidant activities of extracts from selected culinary herbs and spices. Food Chem. 2006;97:122e129