Co-Authored by Iain A. Smellie*, Iain L. J. Patterson*
*University of St Andrews, School of Chemistry, North Haugh, St Andrews KY16 9ST, United Kingdom
The “disappearing rainbow” is a popular demonstration that uses a mixture of indicators that can shuttle between colourless and a range of colourful forms when the pH of the solution is varied.1 The best-known variant of this demonstration uses aqueous mixtures containing phenolphthalein, thymolphthalein and 3-nitrophenol to make violet, blue, green, yellow, orange and red solutions when base is added. Addition of acid to all of the solutions immediately makes them change to become colourless, furthermore, base can be added subsequently to return the original colours.
Figure 1: Aqueous red cabbage extracts adjusted to pH 1 to > 12
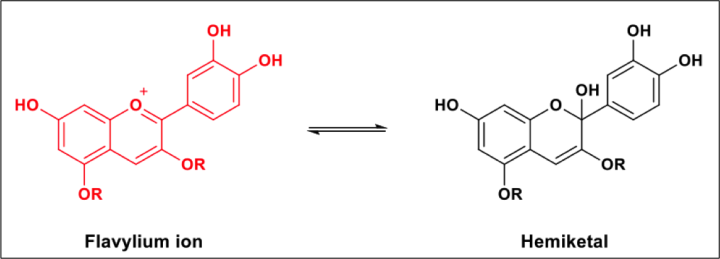
We recently reported2 that the classic red cabbage anthocyanin-derived pH indicator3 (in acidic conditions) can readily be decolourised using sodium metabisulfite. We reasoned that this reaction could potentially be used to develop a variant of the disappearing rainbow demonstration that used readily accessible materials. Red cabbage extracts are well known as displaying a range of colours when the pH is varied, an example of this is shown in figure 1. The literature4,5 shows that the composition of aqueous solutions of anthocyanins is controlled by a complicated series of equilibria as the pH is varied (Scheme 1). The flavylium ion form is dominant at low pH and it is in rapid equilibrium with the quinoidal base form to around pH 4-5 (the quinoid form becoming more abundant as pH increases). The colourless hemiketal (“carbinol”) and green/yellow cis-chalcone and trans-chalcone equilibrium become significant as pH is increased.

Scheme 1 - Key anthocyanidin pH dependent aglycone forms in aqueous solution.
As outlined in our earlier report,2 it is known that under acidic conditions, flavylium ions derived from anthocyanins, readily react with bisulfite ions to afford the corresponding flavene-4-sulfonate (or “bisulfite adduct”).6 The resulting sulfonate species are colourless, so addition of sodium bisulfite, sodium sulfite or sodium metabisulfite solutions can decolourise a solution that is initially red in colour.
Scheme 2 - Reaction of cyanidin-derived anthocyanin flavylium form with bisulfite ion.
Our initial studies were focused on decolourising acidic red cabbage extracts with sodium metabisulfite. However, we also noted that other decolourisations could also be achieved in cabbage extracts adjusted to higher pH. Aqueous red cabbage extracts containing HCl, NaOH, NaHCO3 and NH3 were added to 10% Na2S2O5 solutions, in all cases, the solutions were observed to decolourise rapidly (see video 1).
Video 1: Cabbage Rainbow Part 1, ChemEd X Vimeo Channel (accessed 2/9/2021)
Figure 2 illustrates the decolourisation of red cabbage solutions of various pH by addition to 10% sodium metabisulfite. The procedure is outlined in full below.

Figure 2: Decolourisation of red cabbage extracts (pH adjusted) on addition to 10% sodium metabisulfite solution
Disappearing Rainbow Demonstration
Equipment
- 5 × 25 mL beakers (or conical flasks)
- 5 × sample vials (beakers or conical flasks)
- 1 × 25 mL measuring cylinder
- 1 × 100 mL conical flask (to prepare sodium metabisulfite solution)
- 1 × 500 mL beaker (to prepare red cabbage solution, a 500 mL borosilicate glass kitchen jug also works well)
- Disposable pipettes
Chemicals
- 5 M HCl
- 5 M NaOH
- 5 M NH3
- Saturated NaHCO3
- 10% Na2S2O5 (~1 M)
- 3% (“10 vols”,~0.9 M H2O2) this is only needed if the optional extension is selected.
- Red cabbage extract – This is prepared by chopping ¼ of a red cabbage and soaking the chopped material in hot water for 15 minutes.
Procedure
In each sample vial, 5 mL of aqueous red cabbage extract is mixed with the substances listed below and then 5 mL of deionised water is added (this is to adjust the colour intensity, this can be varied as required).
Red: 2-3 pipette drops of 5 M HCl
Yellow: 5-6 pipette drops of 5 M NaOH (initially this solution is green, but it becomes yellow after a few minutes)
Green: 2-3 pipette drops of 5 M aqueous NH3
Blue: 2 pipette drops of saturated NaHCO3
Violet: Cabbage indicator without any additives
Each solution is rapidly poured into 5 mL portions of 10% sodium metabisulfite solution and the colour will decolourise rapidly.
Optional Extension
Figure 3: “Pinking” of decolourised red cabbage extracts on addition of 3% hydrogen peroxide
It is possible to extend the demonstration by adding dilute hydrogen peroxide to make all of the colourless solutions become pink. The colour change is induced by adding enough hydrogen peroxide (3% “10 vol”) to each beaker until a persistent red/pink solution is observed (see video 2).
Video 2: Cabbage Rainbow Part 2, ChemEd X Vimeo Channel (accessed 2/9/2021)
Hazards and Disposal
Safety glasses are recommended for these activities. Do not allow any of the substances in use to come into contact with skin or eyes.
CARE! SO2 gas will be released from the “pinking” process so the demonstration should be performed in a very well-ventilated area. The solutions can become hot after addition of hydrogen peroxide to metabisulfite.
All the solutions should be diluted in water and can be disposed of by flushing down the sink with plenty of water.
Discussion of reaction mechanisms
What are the structures of intermediates in the case where the initial conditions are neutral or basic?
At low pH (pH 1-2), the bleaching mechanism is well understood, decolourisation is due to addition of bisulfite ion to flavylium ion forms of anthocyanins, the resulting bisulfite adducts are colourless (scheme 2). However, the situation becomes more complicated when the pH is increased, our experimental observations are summarised below:
- Solutions of red cabbage anthocyanins containing ammonia, saturated sodium bicarbonate and sodium hydroxide are decolourised rapidly when poured into a solution of sodium metabisulfite. The pH of these solutions is found to be in the range of pH 5-6 (the metabisulfite solutions are pH 4-5).
- On addition of 5 M ammonia, the colourless metabisulfite solutions become green and the pH is raised to 9-10.
- Solutions of red cabbage anthocyanins containing ammonia, saturated sodium bicarbonate and sodium hydroxide are not decolourised when poured into a solution of sodium sulfite, however, subsequent dropwise addition of acid rapidly decolourises the solutions.
- Sodium acetate buffer solutions (pH 4.0, 4.5, 5.0, 5.5 and 6.0) of red cabbage anthocyanins do not decolourise rapidly at room temperature.
Results 3 and 4 suggest that decolourisation is unlikely to be solely due to the formation of colourless hemiketal (“carbinol”) forms. Results 1 and 3 suggest that bisulfite ion also plays a key role.
flavylium.png

Equation 1 - Flavylium ion/quinoidal base equilibrium equation
As described in the introduction, the composition of aqueous solutions of anthocyanins is complicated as the pH is varied (scheme 1).4,5 It is therefore difficult to say for certain which processes are responsible for all of the colour changes observed, however, we suggest here some possibilities based on our observations. Although the flavylium form is dominant at low pH, it is in rapid equilibrium with the quinoidal base form up to pH 4-5 (equation 1).4 This information suggests there could be a very small, but significant amount of the flavylium ion species in solution to react with bisulfite ion (equation 2).
flavylium_ion.png

Equation 2 - Flavylium ion/bisulfite adduct equilibrium
eq_3.png

Equation 3 - cis-Chalcone/bisulfite adduct equilibrium molecular equation
The reaction with flavylium ions with bisulfite is known to be very fast and aqueous solutions of sodium metabisulfite lie in the required pH range.6 An alternative explanation could be that addition of bisulfite to the carbonyl group of the chalcone form(s) could occur (equation 3), however, evidence for this pathway has not been reported.6
Observation 2 above is particularly interesting, and from this we initially concluded that the colour change observed was purely due to reversible formation of the colourless hemiketal anthocyanin forms (equation 4).
eq_4.png

Equation 4 - cis-Chalcone/bisulfite adduct equilibrium
However, it is known that the bisulfite adducts of carbonyl compounds are pH sensitive (they are sensitive to oxidants too, as illustrated in scheme 4),7,8 so adjustment to sufficiently low or high pH leads to consumption of bisulfite ion and an equilibrium shift toward the starting material. The bisulfite adduct of anthocyanins is also in equilibrium, this may explain why addition of ammonia or hydroxide allows the colourless solution to regain colour (green/yellow).
Scheme 3 - Equilibria involved in formation of bisulfite adducts obtained from (a) carbonyl compounds and (b) anthocyanins (flavylium forms).
What is the structure of intermediates during “pinking”?
On addition of H2O2 to the colourless solutions in the first step, a red/pink colouration is observed. This observation is likely due the formation of flavylium species in solution, these result from the decrease in pH (~ pH 2). Bisulfite ions are consumed by hydrogen peroxide (equation 5) and this drives the equilibrium between the flavylium ion and bisulfite adduct toward the flavylium form.
HSO3- + H2O2 → SO42- + H+ + H2O
Equation 5 - Reaction of Bisulfite ions with hydrogen peroxide
The red solution is not always as vivid as addition of acid to cabbage extract, this may be due to competitive addition of peroxide to flavylium ions (scheme 4), the resulting products are unstable and can degrade via Baeyer-Villiger type reactions to form a variety of colourless compounds.9

Scheme 4 - Reaction of flavylium ion form of an anthocyanin with aqueous hydrogen peroxide.
Conclusion
In summary, we have investigated the effect on the colour of red cabbage extracts of varying pH when added to aqueous solutions of sodium metabisulfite. In all cases, the red cabbage solutions were found to rapidly decolourise in the presence of metabisulfite ions, furthermore, addition of dilute hydrogen peroxide led to all the solutions becoming red/pink in colour. The reported protocols may serve as an alternative to the well-known “disappearing rainbow” demonstration that uses red cabbage pigments in place of traditional acid-base indicators. The procedures described can all be implemented without the need for specialist equipment, the necessary chemicals are inexpensive and can be obtained from grocery stores, hardware stores or online retailers.
References
- Shakhashiri, B.Z. 1983, Chemical Demonstrations – A Handbook for Teachers of Chemistry, vol. 3 pp. 41-46.
- Smellie, I. A.; Patterson, I. L. J.; Allan, A.; Worley B., Aqueous red cabbage extracts: More than just a pH indicator, Chemical Education Xchange (chemedx.org). (accessed 28th November 2020)
- Fortman, J. J.; Stubbs, K. M. Demonstrations with red cabbage indicator. JChemEd, 1992, 69, 66.
- J. Mendoza, N. Basilo, V. de Freitas and F. Pina., New procedure to calculate all equilibrium constants in flavylium compounds: Application to the copigmentation of anthocyanins. ACS Omega, 2019, 4, 12058-12070.
- F. Pina, M. J. Melo, C. A. T. Laia, A. J. Parola, J. C. Lima, Chemistry and applications of flavylium compounds: a handful of colours. Chem. Soc. Rev., 2012, 41, 869-908.
- Berké, B.; Chèze, C.; Vercauteren, J.; Deffieux, G. Bisulfite addition to anthocyanins: revisited structures of colourless adducts. Tetrahedron Lett., 1998, 39, 5771-5774.
- B. S. Furniss, A. J. Hannaford, P. W. G. Smith and A. R. Tatchell and A. I. Vogel, Vogel’s Textbook of Practical Organic Chemistry, Longman Scientific & Technical, Harlow, 5th Edition, 1989, ch. 9.5, pp. 1220.
- T. D. Stewart, L. H. Donally, The Aldehyde bisulfite compounds. I. the rate of dissociation of benzaldehyde sodium bisulfite as measured by its first order reaction with iodine. J. Am. Chem. Soc., 1932, 54, 2333-2340.
- O. Dangles, J-A. Fenger, The Chemical reactivity of anthocyanins and its consequences in food science and nutrition, Molecules. 2018, 23, 1970.
Acknowledgements
We are very grateful indeed to Prof. T. Kuntzleman for all the help and encouragement he has given us in preparing this demonstration. Throughout our investigations, he has provided several valuable suggestions after reviewing our varied results.
Safety
General Safety
General Safety
For Laboratory Work: Please refer to the ACS Guidelines for Chemical Laboratory Safety in Secondary Schools (2016).
For Demonstrations: Please refer to the ACS Division of Chemical Education Safety Guidelines for Chemical Demonstrations.
Other Safety resources
RAMP: Recognize hazards; Assess the risks of hazards; Minimize the risks of hazards; Prepare for emergencies