
Co-Authored by Dean J. Campbell*, Kaitlyn Walls*, Q Ott*, Zaman Shah*
*Bradley University, Peoria, Illinois
The theme to the 2022 National Chemistry Week, observed October 16-22, is “Fabulous Fibers: The Chemistry of Fabrics”. To explore cutting-edge green chemistry of fibers, we merely had to travel a few miles from the Bradley University campus in Peoria, Illinois, to Natural Fiber Welding, Inc., or NFW. Here we were able to observe how the company uses ionic liquids to solvent weld cellulose fibers in yarn, making more durable yarn which produces more durable fabric that is still compostable. Though the solvent welding process takes place at the microscopic level, the process can be demonstrated with macroscopic models.
NFW was founded in 2014 by its CEO, Luke Haverhals.1 We were guided in our tour by Aaron Amstutz, the Chief Technology Officer of the company. Both Haverhals and Amstutz were recently awarded the prestigious 2022 Inventor of the Year by the Intellectual Property Owners Education Foundation for their technological developments using sustainable plant-based materials.1 We were specifically shown the process associated with the company’s CLARUS® technology, which involves ionic liquid solvent welding of cellulose fibers.
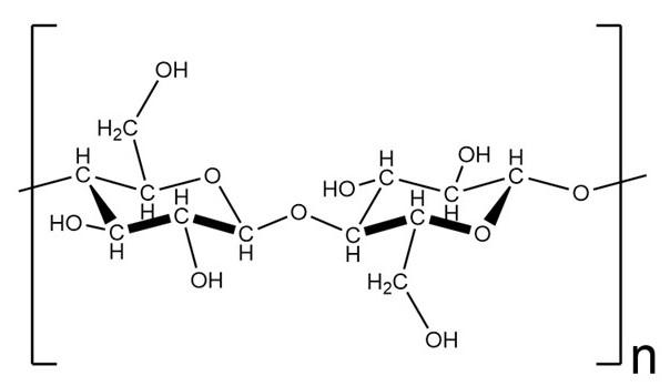
In a typical solvent welding process, a solid polymer is placed in contact with a solvent that attempts to dissolve the polymer. The solvent does not succeed in completely dissolving the polymeric substrate. Instead, the solvent starts to work its way in between the polymer molecular chains, and sometimes makes the surface sticky. When the polymer surface is placed in contact with the surface of another material, the surfaces stick together and the solvent evaporates, joining the materials together. For this to work effectively, the solvent must have a similar polarity to that of the polymer. For example, less polar solvents such as acetone can do an excellent job of both dissolving and solvent welding nonpolar polystyrene.2 Cellulose, on the other hand, is a polysaccharide with many alcohol functional groups that enable it to hydrogen bond and interact with polar solvents such as water, see Figure 1.
Figure 1. Structure of cellulose.
To conceptually connect solvent welding at the molecular level to macroscopic materials like cloth, it is important to define some terms. In this document, cloth or textiles are woven or knitted from yarn. The cotton yarn is composed of many fibers twisted together. The fibers are composed largely of cellulose polymer chains. In typical cotton yarn, the friction between the fibers in the yarn is what typically holds the yarn structure together. When the fibers are modified to adhere more strongly together, the resulting yarn is stronger. Solvent welding the strands brings the cellulose polymer chains into more intimate contact, where intermolecular hydrogen bonding helps to hold the fibers and the polymer chains they contain close together.3 Figure 2 shows electron microscope images of cotton yarn that has been solvent welded. In the image showing the cross-section of the yarn, the outer fibers are visibly solvent welded together. They almost appear to be melted together.
Figure 2. Scanning electron microscope images of cotton yarn that has been solvent welded. In the right side image of the cross-section, the solvent welding of the outer cellulose fibers are visible. Images courtesy of Natural Fiber Welding, Inc.
The problem is that water alone cannot solvent weld many cellulose structures. This is because much natural cellulose is crystalline. In these crystalline regions, the linear, unbranched cellulose polymer chains are hydrogen bonded into tightly-packed structures that are not readily broken apart with water. By contrast, many types of the polysaccharide starch are composed of branching polymer chains. Branching structures do not pack together as closely as unbranched structures, see Figure 3.
Figure 3. The unbranched structures at left can pack together more closely than the branched structures at right.
The branched polysaccharide chains of starch cannot pack so closely together with hydrogen bonding, and thus can dissolve more easily into water. This increased solubility of starch is an important part of one of the demonstrations described later. The goal is to separate the cellulose strands from each other without depolymerizing or breaking the covalent bonds in the polymer chains. One system that can achieve this involves ionic liquids. Ionic liquids, like other ionic compounds, contain cations and anions held together by electrostatic attractions. However, these compounds are typically composed of large organic ions, in contrast to compounds containing only smaller inorganic ions that are typically discussed in high school and collegiate general chemistry courses. The lower charge density and nonpolar functional groups associated with these ions means that they are more weakly attracted to each other than many inorganic salts, and thus ionic liquids have much lower melting points than the inorganic salts.4 An advantage that ionic liquids have over conventional organic solvents is their low vapor pressure, meaning that they do not release as many polluting volatile organic carbon compounds to the atmosphere. Ionic liquids also tend to be nonflammable and can be recycled.4 The ionic liquid used at NFW is 1-ethyl-3-methylimidazolium acetate, which will be referred to as EMIM acetate moving forward, Figure 4.
Figure 4. Structure of 1-ethyl-3-methylimidazolium acetate.
EMIM acetate is water miscible.5 While it is an expensive solvent at over $100/kg of solvent at the time of this writing, it was chosen due to its interactions with the cellulose in cotton.6 The charged particles within EMIM acetate interact with the polar groups of the cellulose molecules. Once the ionic liquid is added to the original cotton fiber yarns, the outer layer of the strands are solvent welded.7 The yarns are considerably stronger and abrasion resistant than the original yarns; they also have advantageous moisture management attributes. NFW also works to recover as much of the solvent as possible. These ideas are described in more detail below.
The Production Process
Cotton yarn made from unwelded cellulose fibers are placed onto a creel system or network that is meant to organize the yarn to neatly deliver them to the welding machine; therefore, the quality of the original yarn is maintained due to the even tension throughout the yarn handling system.8 The yarns make their way from the creel network to the next step in the production process.
Each strand of yarn is then exposed to the solvent welding solution. For its solvent welding process, NFW uses a combination of EMIM acetate and another proprietary molecular additive. The welding solution can dissolve into the outer surface of the fibers and solvent weld the external molecules on the surface of the individual fibers in the yarn. NFW engineered a geometrically efficient method of dispersing the solvent which cannot be disclosed. Before the yarns are saturated in the solvent, they are dried to control water inhibition of the welding process.
The solvent-laden yarn, after the partial dissolution, must then be washed with water in multiple cycles in order to later reuse the ionic liquid and molecular additive to weld more yarn. The greater the number of washing cycles in hot water, the easier it will be to recover the EMIM acetate. The washing cycles rely on a counterflow technique where the wash water and the yarn are moving toward each other in opposite directions. That way, the cleanest wash water encounters the cleanest yarn, and the dirtiest wash water encounters the dirtiest yarn. The geometry of this process has been carefully engineered so that as much EMIM acetate is reusable as possible. After at least four washing cycles, heat and air flow is applied to the yarn to dry off the wash water. NFW has used a variety of techniques to study the development of their fiber welding process. Tests such as moisture-distribution and drying rate are performed to ensure the fibers are of the highest quality.
One question that was asked during the tour was why does NFW not solvent weld the fabric after knitting rather than solvent weld the yarn before knitting. The response was that strategy would produce a fabric that would be too stiff for anybody to comfortably wear.
To recover EMIM acetate and the proprietary solvent from the used solvent welding mixture, there are three basic stages. First, the mixture of the ionic liquid, water, and the molecular additive are put through a bulk-water evaporator. This process achieves about 30-60% water extraction out of the mixture. This water is set aside and the new mixture is distilled in a wiped-film evaporator. The mixture is passed twice through the components of the evaporator: a heat chamber, PTFE wipers to smear the mixture into a film with high surface area to promote evaporation, and a condenser to recover solvent vapors.9 Additionally, a centrifuge is used in the process to remove unwanted particles from the ionic liquid.
The Green Aspects of the Product
Figure 5 describes a basic life-cycle assessment for clothing using CLARUS® technology.4,10 beginning with carbon dioxide and water at the bottom of the loop. These are photosynthesized into glucose (and oxygen), which is then converted to the cellulose in the cotton fibers. The fibers are spun into yarn and then solvent welded at NFW and knitted into fabric which is used in clothing products. After the clothing is no longer of use it can travel through multiple pathways. If it is simply discarded as waste, it has reached the end of its utility, and the life of the product can be thought of as taking a “cradle-to-grave” trajectory.4 Many non-recyclable objects follow this trajectory. However, cellulose, including solvent welded cellulose, can be recycled. The clothing can be broken down into cellulose fibers that can be spun into yarn, solvent welded, and brought back into the market. Cellulose that is not mechanically recycled can be composted to form carbon dioxide and water, where it can again be possibly taken up by plants to produce more cellulose. These pathways close the loop on the life-cycle assessment and represent a “cradle-to-cradle” trajectory for the product.4
Figure 5. Diagram of the life cycle for the fiber welded cellulose products.
This cycle only describes the main materials flow. It does not account for waste such as impurities from the cotton that contaminate the solvent welding mixture or losses of the solvents to the air. Significantly, it also does not include energy input. Almost every step in this cycle requires energy input, from sunlight to drive the photosynthesis of glucose to mechanically breaking down the fabric to recycle the cellulose. The only step in the process that is exergonic or spontaneous is the combination of oxygen with cellulose during composting to return it to carbon dioxide and water.
Much of this life cycle has been in use for a long time. The photosynthetic production of biomass (cellulose) from atmospheric carbon for use as a material to construct clothing is not new. What NFW contributes is an environmentally friendly method to improve the characteristics of the cellulose fibers so they can achieve materials properties traditionally held by synthetic fibers. The synthetic fibers are usually made from polymers produced from petrochemical sources, from carbon that has long been buried in the Earth. Even if clothing made from synthetic fibers were to degrade completely to produce carbon dioxide (without spending too much time as microplastics),2 this would still represent a net flux of carbon from inside the Earth to carbon in the atmosphere. What solvent welded cellulose offers is a way to use atmospheric carbon to achieve the same material ends that are currently being met by carbon buried in the Earth.
The “greenness” of NFWs efforts can also be considered from the perspective of the Twelve Principles of Green Chemistry.4,11 One goal of these processes is to obtain a high percent recovery of the EMIM acetate and the molecular additive which can then be used in another round of solvent welding. This is consistent with the green chemistry principle of waste prevention. It was hard to fully gauge the hazards associated with the solvents, but the principle of safer solvents and auxiliaries seemed to be upheld. The cellulose itself is a renewable feedstock and is biodegradable, and these characteristics are consistent with the principles of use of renewable feedstocks and design for degradation.
One aspect of the process that is not a Principle of Green Chemistry is cost. At this time the fabrics being produced are rather expensive and are being used by high-end designers. It might be quite some time before these fabrics make it into the bargain basement clothing stores. However, production at NFW is scaling up and with larger scales comes lower cost per unit of welded fiber produced. This leads to optimism that this and similar products will be used more extensively in the market over time.
Demonstrating Solvent Welding of Fibers
Visiting NFW and learning about the use of ionic liquids to solvent weld cellulose fibers to produce new sustainably sourced materials is interesting in its own right. However, the actual process happens at the microscopic level, and at this point samples of the welded yarn are not common. There are other ways to demonstrate solvent welding of polymers with macroscopic structures that can be made to resemble large fibers of cellulose. Starch-based packing peanuts, themselves touted as green alternatives to polystyrene foam packing peanuts, are known for their ability to dissolve in water.2 The branching polysaccharide chains of starch pack together less tightly and are more soluble in water than the unbranched chains of cellulose. A macroscopic model of how branching can impact the ability of polymer chains to interact is shown in Figure 3 above. The presence or absence of branching not only affects the properties of polysaccharides, such as branched starch and unbranched cellulose, but also the properties of branched low-density polyethylene and unbranched high-density polyethylene. The starch-based packing peanuts can be wet with water and then solvent welded together.12 A macroscopic model of a cellulose fiber can be made by running a string lengthwise through several starch packing peanuts. A large plastic needle can easily pull a string through a starch packing peanut. For a demonstration, starch peanut chains can be placed in contact with each other while they are dry and then moved away from each other. Then, the peanut chains are placed back together and the model is sprayed with water. The wet peanut chains are gently squeezed together for about a minute while the peanuts are solvent welded together. When the chains are released, they should remain stuck together. If the chains get too wet, the peanuts will transform into mush. Figure 6 shows before and after pictures of this demonstration. Video 1 shows the demonstration in action.
Figure 6. Starch-based packing peanut chain model of solvent welding cellulose fibers (LEFT) before and (RIGHT) after solvent welding with water.
Video 1. Demonstration of the starch-based packing peanut chain model for solvent welding cellulose fibers. Chem Demos YouTube channel (accessed 10/7/2022).
Another way to demonstrate solvent welding of polymers with strandlike macroscopic structures is the use of polylactic acid (PLA). This polymer, like cellulose and starch, can be sourced from plants and is considered to be a green polymer. PLA is often used in 3-D printing. The ribbons of PLA that support a 3-D printed structure can be gathered and used to model strands of cellulose. For a demonstration, PLA strands are twisted together while they are dry and then allowed to unwind and fall away from each other. Then, the strands are twisted back together and the model is wetted with acetone. The strands are held twisted together for several minutes while the strands are welded together. When the strands are released, they should remain twisted in part because they are solvent welded in spots. Figure 7 shows before and after pictures of this demonstration.
Figure 7. Polylactic acid strand model of solvent welding cellulose fibers (LEFT) unwelded and (RIGHT) twisted and acetone welded.
Although neither of these model systems uses ionic liquids or the molecular additive used by NFW, they are accessible, inexpensive demonstrations of solvent welding. The actual process used at Natural Fiber Welding, Inc. uses ionic liquids to do very “green” chemistry, from using the renewable resource cellulose to the recycling of the solvents used in the welding process. This is a great illustration of “Fabulous Fibers: The Chemistry of Fabrics”.
Safety
Acetone can irritate skin or cuts, and definitely should not go into people's eyes. Eye protection is critical, and gloves and fume hoods are highly recommended.
Acknowledgements
We thank Aaron Amstutz and Luke Haverhals at Natural Fiber Welding, Inc., for the tour and for continued consultation during production of this document. We also thank Daniel and Dannielle Wentzel for the donation of the PLA strands, and Theresa Campbell for the donation of a needle long enough to get through a starch packing peanut. This work was supported by Bradley University and the Mund-Lagowski Department of Chemistry and Biochemistry with additional support from the Illinois Heartland Section of the American Chemical Society. The material contained in this document is based upon work supported by a National Aeronautics and Space Administration (NASA) grant or cooperative agreement. Any opinions, findings, conclusions, or recommendations expressed in this material are those of the author and do not necessarily reflect the views of NASA. This work was supported through a NASA grant awarded to the Illinois/NASA Space Grant Consortium.
References
- Bradley Magazine. Bradley University Professor Named Inventor of the Year. https://www.bradley.edu/heres-the-latest/story.dot?id=6ff3cb73-73e9-4737... (accessed October, 2022).
- Campbell, D.; Lojpur, B. ChemEdX: Microplastics, Liquid Nitrogen, and Iodine: Polystyrene vs. Starch Foam Packing Peanuts. https://www.chemedx.org/blog/microplastics-liquid-nitrogen-and-iodine-po... (accessed October, 2022).
- Natural Fiber Welding, Inc., CLARUS®. https://clarus.naturalfiberwelding.com/technology (accessed October, 2022).
- Baird, C; Cann, M.Environmental Chemistry, 5th Ed.; W. H. Freeman and Company: New York, 2012.
- PubChem, National Library of Medicine. https://pubchem.ncbi.nlm.nih.gov/compound/1-Ethyl-3-methylimidazolium-ac... (accessed October, 2022).
- Proionic, Ionic liquids par excellence. https://proionic.com/bestseller/EMIM-OAc.php?gclid=Cj0KCQjwkOqZBhDNARIsA.... (accessed October, 2022).
- Solubility of starch and microcrystalline cellulose in 1-ethyl-3-methylimidazolium acetate ionic liquid and solution rheological properties. Phys. Chem. Chem. Phys. 2016, 18, 27584-27593. https://doi.org/10.1039/C6CP04426C (accessed October, 2022).
- RJS Corporation. Creel Systems. https://www.rjscorp.com/creel-systems (accessed October, 2022).
- Wiped Film Evaporator. Concept Process Equipments. https://www.conceptprocess.com/wiped-film-evaporator/#:~:text=The%20Wipe...(WFE,%25%20to%20over%2095%25%20concentration. (accessed October, 2022).
- Ellis, A. B.; Geselbracht, M. J.; Johnson, B. J.; Lisensky, G. C.; Robinson, W. R. Teaching General Chemistry: A Materials Science Companion, 1st ed.; Oxford University Press: Oxford, 1993.
- American Chemical Society. 12 Principles of Green Chemistry. https://www.acs.org/content/acs/en/greenchemistry/principles/12-principles-of-green-chemistry.html (accessed October, 2022).
- Magic Nuudles. What are Magic Nuudles? https://www.magicnuudles.co.za/ (accessed October, 2022).
Safety
General Safety
General Safety
For Laboratory Work: Please refer to the ACS Guidelines for Chemical Laboratory Safety in Secondary Schools (2016).
For Demonstrations: Please refer to the ACS Division of Chemical Education Safety Guidelines for Chemical Demonstrations.
Other Safety resources
RAMP: Recognize hazards; Assess the risks of hazards; Minimize the risks of hazards; Prepare for emergencies
All comments must abide by the ChemEd X Comment Policy, are subject to review, and may be edited. Please allow one business day for your comment to be posted, if it is accepted.
Comments 1
Alternative to needle and string for fiber demo
We can also place starch packing peanuts on sticks (e.g. chopsticks) and solvent weld them together. Of course, strings are more flexible than sticks for use in models of cellulose fibers.