
For a few years now, I have been using a simple laboratory experiment that allows students to calculate the wavelength of various colors of light. I use the activity near the beginning of the semester, when students are first learning about measurement, unit conversions, and significant figures. If you would like to skip reading through the details, scroll down a bit and you will find a video that demonstrates the experimental details and associated data analysis.
The experiment is based on the diffraction of LED light through a diffraction grating. I use rainbow glasses for the diffraction grating. When light passes through a diffraction grating, some of it gets “bent” from its straight line path (Figure 1):

Figure 1 - Light from a red LED (circle on left) passes through a diffraction grating (rainbow glasses). The distance between the light source and diffraction grating is designated L.
Notice that we can extend the diffracted beams of light back towards the light source (Figure 2), such that the distance y is the distance between the light source and the image of its next nearest neighbor as viewed through the diffraction grating:

Figure 2 - The double blue arrow represents the distance between the light source and its next nearest neighbor as viewed through the diffraction grating. This distance is designated y.
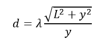
The following relationship exists between the wavelength of light emitted, l, the distance between the slits in the diffraction grating, d, y, and L (see Note 2 for derivation of Equation 1):

This experiment generally yields good results. In fact, if students report results that aren’t within 10% of the appropriate wavelength I know something has gone wrong. Occasionally careless measurement is the culprit. However, it is most often mistakes in unit conversion that gets in the way. I give students the value of d = 4.85 x 10-4 cm, and then have them report to me the wavelength of light in nm. Doing this serves the purpose of requiring students to correctly use scientific notation and conversion of metric units (cm to nm) to obtain reasonable results. I also note that students will often measure L in meters and y in centimeters – but not convert to consistent units when using Equation 1. This of course leads to spurious results but allows for a teaching opportunity on the importance of paying attention to units. And there is always the student who measures y in inches and L in meters but doesn’t write down units.
The video below provides a demonstration on how to carry out this experiment and analyze the data.
Notes
1. Using the distance between the slits (d) in the diffraction grating as recorded by the manufacturer of the glasses has caused me some trouble in this experiment. The rainbow glasses I use in this experiment are listed as having 500 lines per mm, which would imply d = 2000 nm (1 mm /500 lines = 0.002 mm; see why this is a great lab for unit conversions?). However, I have used an optical microscope fitted with a length scale to measure d = 4850 nm in the glasses I use. The moral of this story is if you notice that your measured wavelengths don’t make sense (200 nm for red light, for example), then consider measuring d for yourself. If you don’t have an optical microscope fitted with a length scale, then simply conduct this experiment with light of known wavelength and use the following equation to determine d:

2. The bending, or diffraction of light through the diffraction grating is given by:

Where l is the wavelength of light, d is the distance between slits in the diffraction grating, and q is the angle between the straight-line beam of light and its next nearest neighbor. Notice that we can extend the diffracted beams of light back toward the light source (Figure 1). Upon doing so, we produce a triangle with hypotenuse, h, and the new angles produced are also equal to q (Figure 3).

Figure 3 - Extension of diffracted light beams back through space to the light source. The angle between the straight-line beam and diffracted beams is q. The hypotenuse of the triangle formed is designated h. The double blue arrow represents the distance between the light source and its next nearest neighbor. This distance is designated y.
We can substitute sinq = y/h into Equation 2:

By using h2 = L2 + y2, we obtain the equation we seek:

A student laboratory sheet is included in the supporting information below.
NGSS
Students who demonstrate understanding can use mathematical representations to support a claim regarding relationships among the frequency, wavelength, and speed of waves traveling in various media.
*More information about all DCI for HS-PS4 can be found at https://www.nextgenscience.org/topic-arrangement/hswaves-and-electromagnetic-radiation.
Students who demonstrate understanding can use mathematical representations to support a claim regarding relationships among the frequency, wavelength, and speed of waves traveling in various media.
Assessment is limited to algebraic relationships and describing those relationships qualitatively.
Examples of data could include electromagnetic radiation traveling in a vacuum and glass, sound waves traveling through air and water, and seismic waves traveling through the Earth.
Students who demonstrate understanding can evaluate the claims, evidence, and reasoning behind the idea that electromagnetic radiation can be described either by a wave model or a particle model, and that for some situations one model is more useful than the other.
*More information about all DCI for HS-PS4 can be found at https://www.nextgenscience.org/topic-arrangement/hswaves-and-electromagnetic-radiation.
Students who demonstrate understanding can evaluate the claims, evidence, and reasoning behind the idea that electromagnetic radiation can be described either by a wave model or a particle model, and that for some situations one model is more useful than the other.
Assessment does not include using quantum theory.
Emphasis is on how the experimental evidence supports the claim and how a theory is generally modified in light of new evidence. Examples of a phenomenon could include resonance, interference, diffraction, and photoelectric effect.
Students who demonstrate understanding can Evaluate the validity and reliability of claims in published materials of the effects that different frequencies of electromagnetic radiation have when absorbed by matter.*
*More information about all DCI for HS-PS4 can be found at https://www.nextgenscience.org/topic-arrangement/hswaves-and-electromagnetic-radiation.
Students who demonstrate understanding can Evaluate the validity and reliability of claims in published materials of the effects that different frequencies of electromagnetic radiation have when absorbed by matter.
Assessment is limited to qualitative descriptions.
Emphasis is on the idea that photons associated with different frequencies of light have different energies, and the damage to living tissue from electromagnetic radiation depends on the energy of the radiation. Examples of published materials could include trade books, magazines, web resources, videos, and other passages that may reflect bias.
All comments must abide by the ChemEd X Comment Policy, are subject to review, and may be edited. Please allow one business day for your comment to be posted, if it is accepted.
Comments 3
light source
Hi Tom,
Do you have a link or know where I can buy that little LED light source you used in your video?
Hi Cheryl:
Hi Cheryl:
I bought these at Party City. You can also try Googling "LED finger lights". Be sure to let me know how the experiment works for you!
procedure for measuring wavelength of light 2
I've successfully used the procedure given in the student laboratory sheet to measure the wavelength of an IR lamp. However, it's not clear to me why the 'y' value needs to be measured "at the distance it appears to be from the light source". The diagram shows the 'y' value measured at distance 'L' from the light source to the grating. However, following the procedure does give a wavelength in the correct range.
I also had the same issue with my diffraction grating. Marked as 600 lines/mm but when calibrated with a known wavelength turned out to be 240 lines/mm