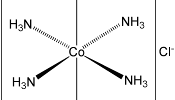
coordination compounds

AP Chemistry Post-Exam Activity: Coordination Compounds & Complex Ions

I published an article about an independent study unit I use with my AP Chemistry class two years ago, A guided group inquiry lesson on coordination compounds and complex ions. In the time since it was published, I have expanded the unit quite a bit and written some new assignments to go along with it. I use this unit every year as a post AP activity and am very fond of it. I thought some of my readers might enjoy seeing how it has changed and get access to the new assignments I have developed for it.

Demonstrating the Colors of Transition Metal Complex Ions

Just the other day within my IB Chemistry HL classes, we were discussing the color of transition metal complex ions in solution. It's a bit imperfect, because they are not yet dissolved, but I set up a number of metal chloride salts in order to help students see the pattern. They are arranged according to the position of the metal in the periodic table. It ends up being quite obvious to the students that the only metal salts with color are in the d-block. I'm now in the process of ordering more chloride salts so I can complete the pattern even more the next time I teach this topic.

 

Complex Ions Lab

This laboratory exercise accompanies the article "A guided group inquiry lesson on coordination compounds and complex ions". The laboratory serves as part of an extended exercise on the chemistry topic of coordination compounds and complex ions. The entire lesson as described in the article also exposes students to how chemical research is conducted and the conflicts and uncertainties that lead to new theories and discoveries.