
In this post I’ll be sharing a bit about the chemistry of the Berry food color found in McCormick’s Color from Nature food coloring. I will also describe some experiments and demonstrations that can be done using this food color. This post is the second in a three-part series in which the chemistry of McCormick’s Color from Nature food dyes are described. In Part 1 of the series, we explored Sky Blue food dye. A box of McCormick’s Color from Nature food dyes contains three packets of dyes: Sky Blue, Berry (red) and Sunflower.
The Berry food color is intended to impart a red color to foods. The ingredients list for the Berry food coloring lists “beet juice color”, and this is likely the component responsible for the bright red color observed when Berry dye is dissolved in water.
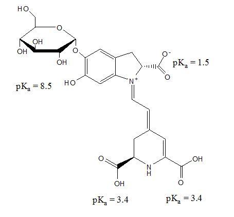
Figure 1: Chemical structure of betanin, the main pigment in beet juice color.
The pKa values reported for the various acidic protons on betanin2 (Figure 1) and the fact that betanin is cleaved to the yellow betalamic acid at high pH3 are fairly consistent with these observations. I also noticed that the Berry dye lost its color upon addition of Cu2+ ions. This is consistent with the fact that betanin oxidizes quite easily in the presence of oxygen in a process that is sped up by the addition of metal ions.4 Finally, the berry dye dissolves well in water but not acetone, consistent with the charged nature of betanin. You can watch some experiments I carried out with the Berry dye in the video below.
Like the Sky Blue dye, it is easy to obtain the absorption spectrum of the Berry dye dissolved in water (Figure 2). As I expected, the absorption spectrum observed is similar to the absorption spectrum of betanin.
Figure 2: Absorption spectrum of Berry food dye in water
I spent quite a bit of time in stores trying to find commercial products that contained beet juice color. Specifically, I looked for beverages that contained this dye. Interestingly, I could only find dairy products which contained beet juice color. I suspect that this is because betanin degrades easily upon exposure to light.3,6 Thus, betanin-containing beet juice color would be amenable as a dye for foods that are opaque (or enclosed in opaque packaging), which would limit exposure to light. Indeed, dairy foods tend to have these characteristics. As an interesting side note, I did purchase one bottle of strawberry milk that listed red beet juice color as an ingredient. When I opened the bottle to observe the contents I expected to see pink colored milk, but it was completely white. I think this observation might indicative the beet juice color in the milk was oxidized. This is in line with the reported ease with which betanin is degraded under various conditions.
Please let me know any interesting observations you make if you try out any experiments with the Berry food dye or foods that contain beet juice color. I look forward to hearing from you. Happy experimenting!
References:
1. Gandia-Herrero, F.; Simon-Carillo, A.; Escribano, J.; Garcia-Carmona, F. J. Chem. Educ. 2012, 89, 660 – 664.
2. Gliszczynska-Swiglo, A.; Szymusiak, H.; Malinowska, P. Food Additives and Contaminants 2006, 23, 1079-1087.
3. Reshmi, S. K.; Aravindhan, K. M.; Suganya Devi, P. Asian Journal of Pharmaceutical and Clinical Research 2012, 5, 107-110.
4. Wybraniec, S.; Starzak, K.; Skopińska, A.; Szaleniec, M.; Słupski, J.; Mitka, K.; Kowalski, P.; Michałowski, T. Food Sci. Biotechnol. 2013, 22, 353-363.
5. Harmer, R. A. Food Chemistry 1980, 5, 81 – 90.
6. http://yadda.icm.edu.pl/yadda/element/bwmeta1.element.baztech-695f9783-a...
Safety
General Safety
General Safety
For Laboratory Work: Please refer to the ACS Guidelines for Chemical Laboratory Safety in Secondary Schools (2016).
For Demonstrations: Please refer to the ACS Division of Chemical Education Safety Guidelines for Chemical Demonstrations.
Other Safety resources
RAMP: Recognize hazards; Assess the risks of hazards; Minimize the risks of hazards; Prepare for emergencies