A pH Sensitive Highlighter “Flame”

A pH Sensitive Highlighter “Flame”

A pH Sensitive Highlighter Flame preview image with image of rocket and candle flames

Co-Authored by Dean J. Campbell* and Ali Patel*

*Bradley University, Peoria, Illinois

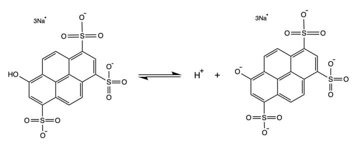
The authors were surprised to recently find out that fluorescent yellow highlighter marks could be “erased” in contact with lemon juice. Pyranine, the fluorescent yellow dye in the highlighter ink, turns colorless in acidic conditions,1-3 and returns to yellow in basic conditions. Figure 1 shows the chemical structure of pyranine and the acid-base equilibrium associated with the color change. It is composed of various functional groups attached to a pyrene core.4 The acidic form at left is colorless and the basic form at right is yellow.

Acid-base equilibrium associated with pyranine

Figure 1. Acid-base equilibrium associated with pyranine.

 

Both forms of the molecule fluoresce. Figure 2 shows the fluorescence spectrum of pyranine from a yellow highlighter dipped in DI water and excited by light from a 365 nm LED light source. The spectrum was collected by a Vernier Fluorescence/UV-VIS Spectrophotometer. The fluorescence of pyranine in these conditions has a maximum of about 509 nm and is associated with the molecule having lost a hydrogen ion from its alcohol group (RO-) in more basic conditions.5 The fluorescence of the solution when HCl is added to the solution is also shown. The fluorescence of pyranine in these conditions has a maximum of about 445 nm and is associated with the molecule having an intact alcohol group (ROH) in more acidic conditions.5

Fluorescence spectrum of pyranine from a yellow highlighter

Figure 2. Fluorescence spectrum of pyranine from a yellow highlighter dipped in water and excited by light from a 365 nm LED light source. The fluorescence of the solution with added HCl is also shown.

 

Demonstrations

Paper surfaces, with their large area, can be a good way to show chemical properties for species such as pH indicators. For example, the pH sensitivity of classic goldenrod paper6 has been demonstrated at many science outreach events hosted by these authors. This demonstration strategy can be extended to yellow fluorescent highlighter ink to display the pH sensitivity of pyranine to audiences. In these demonstrations, yellow highlighter ink is placed on paper in the shape of a flame. This allows a reasonably visible area of the paper to be covered with the ink. The flame can be placed in various arrangements. Pointing upward from a rectangular shape, the image represents a flame on a candle. Pointing downward from a rectangular shape, the image represents a flame emerging from a rocket engine. When the ink is dried, it is gently dabbed with paper tissue that has been wet with lemon juice, and then the excess liquid is gently dabbed up with dry paper tissue to prevent the ink from smearing. The acidity in the lemon juice causes the yellow ink to turn colorless. An aqueous solution of citric acid (e.g., 2.5 g solid monohydrate combined with 5.0 mL of water) will also decolorize the ink. The ink marks do not always completely decolorize, so an off-white colored paper might help to hide that remaining yellowish color. Additionally, the demonstrations seem to work better when the paper being used is rather smooth and not very permeable. In this work, manila folders, with their off-white color and low permeability, work well for the demonstrations. After the ink is treated with acid, it is allowed to dry. Even when the highlighter ink is decolorized, it can still be made to fluoresce in ultraviolet light, for example, with an LED flashlight that produces 365 nm light. Whereas the yellow ink fluoresces yellow under the UV light, the decolorized ink has a bluish fluorescence.

In the demonstrations, the paper containing the colorless ink is sprayed with household ammonia using a hand-pumped spray bottle. The ammonia causes the ink to become more basic and turn yellow. To the casual observer, it looks like a yellow flame has been “lit” on the paper by spraying it with ammonia solution. This yellow flame will glow under a UV light. Wiggling the light source will even make the flame glow appear to flicker. The yellow flame can be sprayed with household vinegar using a hand-pumped spray bottle to put the flame “out,” turning it colorless. Again, the colorless flame will glow (blue) under a UV light. Video 1 shows demonstrations based on the properties of yellow highlighter flame patterns on a rocket shape and a candle shape. Figure 3 shows images from the video. The rocket flame in these images has a 365 nm UV light shining on it. In the left image, highlighter marks have been made colorless but still capable of fluorescence by dabbing with lemon juice. In the right image, the marks in the left side image have been sprayed with household ammonia, making the yellow color visible and still capable of fluorescence.

Video 1. Yellow highlighter flame color and fluorescence in acidic and basic conditions, incorporated with rocket and candle shapes. Chem Demos YouTube channel (accessed December 11, 2023).

 

 

yellow highlighter flame patterns on a rocket and a candle shape under different conditions

Figure 3. Images captured from the demonstration video above, based on yellow highlighter flame patterns on a rocket and a candle shape. The rocket flame has a 365 nm UV light shining on it. (LEFT) Highlighter marks have been made colorless but still capable of fluorescence by dabbing with lemon juice. (RIGHT) The highlighter marks have been sprayed with household ammonia, making the yellow color visible and still capable of fluorescence.

 

Connections and Extensions 

An early version of these demonstrations was run at a recent outreach event held in a gymnasium. A highlighter mark on paper representing a candle flame was pretreated with acid to make it invisible. The paper was placed at the end of a series of classic goldenrod paper panels with wax markings spelling out the word WELCOME.6 When the goldenrod paper was sprayed with ammonia solution to make the word appear, the candle was sprayed to make the yellow color appear and light the flame. When the goldenrod paper was sprayed with vinegar solution to make the word disappear again, the candle was sprayed to make the yellow color disappear and blow out the flame. For extra fun, the audience was asked to blow out the flame as the ammonia was sprayed on the ink. These visual effects of these demonstrations can be connected to a variety of other topics, whether they are science topics or not. The images of flames, candles, and rockets cut across many cultures and their celebrations. Multiple candle shapes can be arranged on an oval shape, representing a drawing of a birthday cake. The rocket images can be connected to space themes. The components of these demonstrations: yellow highlighter, lemon juice, household ammonia, vinegar, manila folders, and UV light sources, are relatively easy to obtain. Switching colors back and forth becomes less clear cut with repeated changes. This is possibly because the water-soluble pyranine can wash away from the original drawing and into the paper. 

With respect to chemistry, these demonstrations can be connected to the themes of acids and bases, including indicators, and fluorescence. The equilibrium associated with the color changes shown in Figure 1 are illustrations of LeChatleier’s Principle. Addition of acid increases the concentration of hydrogen ions in the system, so the equilibrium shifts to the left, away from the product side containing the hydrogen ion and yellow colored specie. Addition of base decreases the concentration of hydrogen ions in the system, so the equilibrium shifts to the right, toward the product side containing the hydrogen ion and yellow colored specie. These demonstrations therefore align with NGSS standard HS-PS1-6, Refine the design of a chemical system by specifying a change in conditions that would produce increased amounts of products of equillibrium.7 Pyranine and related molecules have been used to probe pH in biologically related systems. One possible application is to use pyranine as part of a fluorescent pH sensing system in bandages, to help caregivers to assess the potential for infection in wounds.8,9 Whether connected to more complex chemical ideas or not, these demonstrations are relatively simple and eye-catching.

Safety 

Acetic acid can cause eye damage. In addition, inhalation of fumes can cause irritation of the respiratory tract, leading to coughing, choking and inflammation. Ammonia is corrosive and its vapor is extremely irritating. Its gas can cause burns and severe injury. Vapors are irritating to the eyes and respiratory tract. Make sure that the sprays are used in adequately ventilated areas and wear eye protection. 

Acknowledgements 

We thank Wayne Bosma for bringing the lemon juice decolorization of yellow fluorescent highlighter ink to our attention. This work was supported by Bradley University and the Mund-Lagowski Department of Chemistry and Biochemistry with additional support from the Illinois Heartland Section of the American Chemical Society. The material contained in this document is based upon work supported by a National Aeronautics and Space Administration (NASA) grant or cooperative agreement. Any opinions, findings, conclusions, or recommendations expressed in this material are those of the author and do not necessarily reflect the views of NASA. This work was supported through a NASA grant awarded to the Illinois/NASA Space Grant Consortium. 

References

  1. Brunning, A. Compound Interest: The Chemistry of Highlighter Colours. 2019. https://www.compoundchem.com/2015/01/22/highlighters/ (accessed December, 2023).
  2. Okereke, M. Museum of Science YouTube Channel. How to Erase Highlighter | Science Hack! https://www.youtube.com/watch?v=Okduc8zBDrc (accessed December, 2023).
  3. BYK Instruments. How Colors are Created. https://www.byk-instruments.com/en/2020-09-how-colors-are-created (accessed December, 2023).
  4. Campbell, D. J.; Walls, K.; Steres, C. “Paper Snowflakes to Model Flat Symmetrical Molecules.” ChemEd Exchange. https://www.chemedx.org/blog/paper-snowflakes-model-flat-symmetrical-molecules (accessed December, 2023).
  5. Nandi, R.; Amdursky, N. “The Dual Use of the Pyranine (HPTS) Fluorescent Probe: A Ground-State pH Indicator and an Excited-State Proton Transfer Probe.” Acc. Chem. Res. 2022, 55, 18, 2728–2739.  
  6. Schorr, D. K.; Campbell, D. J. “Demonstration Extensions Based on Color-Changing Goldenrod Paper.” J. Chem. Educ., 2019, 96, 308-312.  
  7. Next Generation Science Standards. HS-PS1 Matter with its Interactions. https://www.nextgenscience.org/pe/hs-ps1-6-matter-and-its-interactions (accessed December, 2023).
  8. Peter, M. Empa. Bandage with a voice. https://www.empa.ch/web/s604/wound-healing-sensor (accessed December, 2023).
  9. Panzarasa, G.; Osypova, A.; Toncelli, C.; Buhmann, M. T.; Rottmar, M.; Ren, Q.; Maniura-Weber, K.; Rossi, R. M.; Boesel, L. F. “The pyranine-benzalkonium ion pair: A promising fluorescent system for the ratiometric detection of wound pH.” Sensors and Actuators B: Chemical, 2017, 249, 156-160.

Comments

4
Log in to comment
Profile picture for user Tom Kuntzleman
Tom Kuntzleman • Wayne State University Assistant Professor of Teaching - Chemistry
ChemEd X Associate Editor, Science experimenter, chemical educator, entropy generator, I have taught science at all levels from Kindergarten through upper division undergraduate. Member of ACS, AACT.
December 12

Fantastic as usual

I LOVE IT!!!!!!!!!!!!!!!!!!!!!!!!!!

Share Your Thoughts