Structure and Bonding


1001. Only one of the following can exist with all four nuclei located in a single plane. Examine the Lewis structures to determine which one.


1002. Of the three isomeric C3H4 hydrocarbons shown below, how many can exist with all the carbon and hydrogen nuclei located in a single plane?

0 1 2 3


1022. Trimethylamine,

is a pyramidal molecule. What is the hybridization at nitrogen?

A. sp

B. sp2

C. sp3


1023. Formamide,

has a planar nitrogen center. What is the hybridization at nitrogen?

A. sp

B. sp2

C. sp3


1024. One of the two equivalent energy resonance structures for formate anion is shown below.

Which carbon-oxygen bond is longer?

A

B

Both are equal


1025. The best IUPAC name for this molecule is

A. 2-chloro-7-bromo-3-methylheptane

B. 1-bromo-6-chloro-5-methylheptane

C. 1-bromo-5-methyl-6-chloroheptane


1026.Which of the following resonance structures is lowest in energy?
A. B.

C.

 


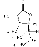
1028. Vitamin C has the following structure and a pKa value of 4.1.

 pKa = 16

 pKa = 10

 pKa = 5

(Question can be used with or without this table.)

Which -OH in vitamin C contains the acidic proton? 1 2 3 4

 



1029. Ethylene,

is planar.

What is the structure of allene ?

A. planar

B. staggered

What is the structure of cumulene?

A. planar

B. staggered

Click here to see this question used with the MultiStep format.



1032. Cortisone

contains which functional groups?

A. Ether, alkene, alcohol

B. Alcohol, ketone, amine

C. Alcohol, ketone, alkene

D. Ether, amine, ketone

Click here to see this question used in the MultiStep format.


1033. Which is the more stable chair configuration of trans-1-chloro-3-methylcyclohexane?

A. B.



1088. The only structure that does NOT have an error is:

A B C D


1091. How many carbons are in tryptophane? 11, 12, 13

How many hydrogens are in tryptophane? 11, 12, 13


1096. The rings in the structure below can be considered substituents on the other ring. The orientation of the rings can be described as:

A. cis

B. trans

C. one cis, one trans

D. neither

and

A. equatorial

B. axial

C. a combination of axial and equatorial

D. neither


1105. How many degrees of unsaturation are there in benzene?

 

A. 2

B. 3

C. 4

D. more than 4


1107. Which one of the following numberings is correct?

A, B, C, D





More questions are needed for this section. Please submit contributions to concept@chem.wisc.edu..