1038.This question would be appropriate for use after a unit on oxymercuration and hydroboration-oxidation.
Can this ketone
be made selectively from an alkyne? If so, which alkyne?
,
and what do its
- bonds look like?
Cortisone

contains how many alcohols?
How many ketones?
How many ethers?
, can be made this way.
What are the structures and names of the phenylpropylene oxide stereoisomers?
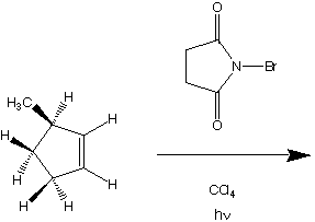
1044. This question would be useful after a unit on allylic halogenation. This optically active cyclopentene undergoes photolytic bromination with N-bromosuccinimide.

Would the products of this reaction retain the optical activity?
More questions are needed for this section. Please submit contributions to concept@chem.wisc.edu..