![]()

0, 1, 2, 3
1022. Trimethylamine,

is a pyramidal molecule. What is the hybridization at nitrogen?
A. sp
B. sp2
C. sp3
1023. Formamide,

has a planar nitrogen center. What is the hybridization at nitrogen?
A. sp
B. sp2
C. sp3
1024. One of the two equivalent energy resonance structures for formate anion is shown below.

Which carbon-oxygen bond is longer?
A
B
Both are equal
1025. The best IUPAC name for this molecule is

A. 2-chloro-7-bromo-3-methylheptane
B. 1-bromo-6-chloro-5-methylheptane
C. 1-bromo-5-methyl-6-chloroheptane
1026.Which of the following resonance structures
is lowest in energy?
A.
B. 
C.
pKa = 16 | |
![]() |
pKa = 10 |
![]() |
pKa = 5 |
(Question can be used with or without this table.)
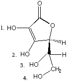
Which -OH in vitamin C containes the acidic proton? 1 2 3 4
1029. Ethylene,
is planar.
What is the structure of allene?
![]()
A. planar
B. staggered
What is the structure of cumulene?
![]()
A. planar
B. staggered

contains which functional groups?
A. Ether, alkene, alcohol
B. Alcohol, ketone, amine
C. Alcohol, ketone, alkene
D. Ether, amine, ketone
A.
B. 
1088. The only structure that does NOT have an error is:

A B C D
1091. How many carbons are in tryptophane? 11, 12, 13
How many hydrogens are in tryptophane? 11, 12, 13

1096. The rings in the structure below can be considered substituents on the other ring. The orientation of the rings can be described as:
A. cis
B. trans
C. one cis, one trans
D. neither
and
A. equatorial
B. axial
C. a combination of axial and equatorial
D. neither
1105. How many degrees of unsaturation are there in benzene?
A. 2
B. 3
C. 4
D. more than 4
1107. Which one of the following numberings is correct?
A, B, C, D
![]()
![]()
![]()
More questions are needed for this section. Please submit contributions
to concept@chem.wisc.edu..